Thursday, June 23, 2022

Writing a qualitative dissertation proposal

Writing a qualitative dissertation proposal
Qualitative dissertation proposal
Read More

Dissertation Proposal Example

Successfully Writing and Defending the Dissertation Proposal: A Review of Designing Qualitative Research. Abstract. Designing Qualitative Research (5th ed.) by Catherine Marshall and Gretchen B. Rossman () is, in my opinion, a book of compiled elements central to the design and defense of the qualitative research proposal The Qualitative Doctoral Dissertation Proposal BRENT KILBOURN University of Toronto This article discusses the primary qualities of a doctoral dissertation proposal and how those qualities relate to the qualities of a dissertation and to the nature of a research university. Typical parts of a proposal are discussed—problem, significance, literature This handout will not only answer this question, but also give you good, practical advice on starting, drafting, and completing your dissertation. The Writing Center can’t advise you about technical questions (for example, how to force Microsoft Word to set up tables correctly or format page numbers the way you want), but we know people who


Writing A Qualitative Research Proposal Short, Simple and Easy
Read More

What is dissertation proposal?

Jul 01,  · Qualitative research proposals: step 1. You will start with introducing the main question you address and intend to answer. Explain why you are interested in this question and why it should be answered. Qualitative research proposals: step 2 Successfully Writing and Defending the Dissertation Proposal: A Review of Designing Qualitative Research. Abstract. Designing Qualitative Research (5th ed.) by Catherine Marshall and Gretchen B. Rossman () is, in my opinion, a book of compiled elements central to the design and defense of the qualitative research proposal Feb 07,  · Now, let us introduce you an outline of how to write a qualitative research proposal. How to write a qualitative research proposal; abstract? Estimated Reading Time: 2 mins


Read More

Qualitative research proposals: step 2

This handout will not only answer this question, but also give you good, practical advice on starting, drafting, and completing your dissertation. The Writing Center can’t advise you about technical questions (for example, how to force Microsoft Word to set up tables correctly or format page numbers the way you want), but we know people who The Qualitative Doctoral Dissertation Proposal BRENT KILBOURN University of Toronto This article discusses the primary qualities of a doctoral dissertation proposal and how those qualities relate to the qualities of a dissertation and to the nature of a research university. Typical parts of a proposal are discussed—problem, significance, literature Jul 01,  · Qualitative research proposals: step 1. You will start with introducing the main question you address and intend to answer. Explain why you are interested in this question and why it should be answered. Qualitative research proposals: step 2


Read More

Masters Dissertation Proposal Format

This handout will not only answer this question, but also give you good, practical advice on starting, drafting, and completing your dissertation. The Writing Center can’t advise you about technical questions (for example, how to force Microsoft Word to set up tables correctly or format page numbers the way you want), but we know people who Dissertation Proposal Robert R. Maldonado Akamai University Then, the researcher will write a rich and exhaustive description of the Procedural Rigor—Qualitative validity is to be determined through the use of strategies to check the accuracy of the findings. Triangulation from different data sources will be used to Jul 01,  · Qualitative research proposals: step 1. You will start with introducing the main question you address and intend to answer. Explain why you are interested in this question and why it should be answered. Qualitative research proposals: step 2


Read More

How do you write a qualitative research proposal?

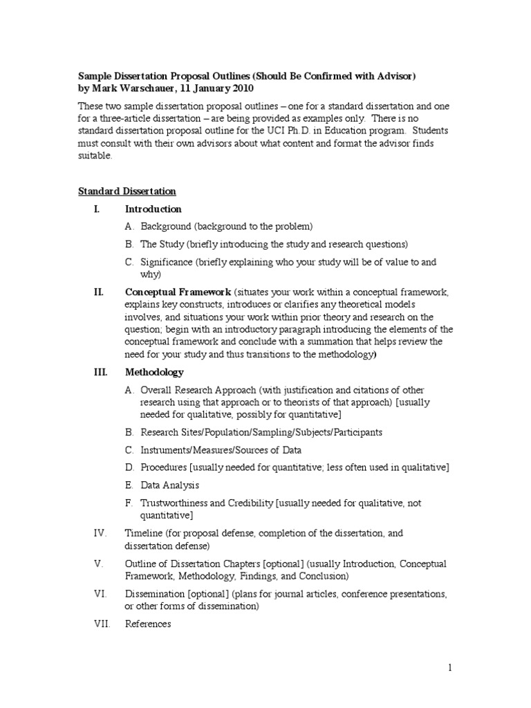
Dec 01,  · A dissertation proposal should generally include: An introduction to your topic and aims. A literature review of the current state of knowledge. An outline of your proposed methodology. How long should a dissertation proposal be? Include a detailed timeline in your proposal. Most dissertation proposals are no less than 10 pages Dissertation Proposal Robert R. Maldonado Akamai University Then, the researcher will write a rich and exhaustive description of the Procedural Rigor—Qualitative validity is to be determined through the use of strategies to check the accuracy of the findings. Triangulation from different data sources will be used to The outline for a good qualitative dissertation proposal: The Introduction will be the first chapter of the proposal. Literature Review will be the second chapter of the proposal. The methods of research will be the third chapter of the proposal. The findings of

No comments:

Post a Comment